EWMA (Exponentially Weighted Moving Average) : 지수가중이동평균

EWMA는 주로 시계열 데이터에 사용된다 (시간에 영향이 있는)
- 최근 데이터에서는 큰 비중(Weighted)을 적용하고 시간이 오래된 데이터에는 가중치를 적게 주는 방식
- 여기에서 비중(Weighted)의 차이를 지수를 이용하여 (Exponentially) 구하게 된다
- 만약 여기에서 비중 없이 일정한 가중치를 두게 된다면 그걸 (SMA : Simple Moving Average)라고 한다

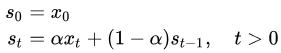
다음 식을 보면
t를 해당 시점이라고 생각 하고 a 가 0~ 1사이의 값을 가져서 곱해질 수록 작아진다는 관점으로 보면
새로운 데이터(최근 데이터) 가 나올 수록 과거의 데이터는 a가 계속 곱해지게 되며 작아지게 된다
즉, a가 커질 수록 점점 완만한 그래프가 그려지게 되는 것이다
또한 중요한 특징으로는 parameter를 a 만 가지는 것이다
EWMA hyperparameter
EWMA는 EWM + Average (Mean)를 이용해서 구할 수 있다
EWM은 다음과 같이 정의되어 있는데
@final
def ewm(
self,
com: float | None = None,
span: float | None = None,
halflife: float | None = None,
alpha: float | None = None,
min_periods: int = 0,
adjust: _bool = True,
ignore_na: _bool = False,
axis: Axis = 0,
times: np.ndarray | Series | None = None,
method: CalculationMethod = "single",
) -> ExponentialMovingWindow[Series]: ...
이상한 점이 있다.
분명 patameter는 a만 가진다고 하였는데 나머지의 의미가 뭘까
결론부터 말하면 com, span, halflife는 a를 어떻게 구한지를 결정해주는 parameter이다
해당 링크(https://wikidocs.net/152787) 에 잘 설명되어 있지만 여기에 정리해 보자
a (alpha) 인수
간단히 말해서 아래 수식

에 있는 a에 다이렉트로 숫자를 꼽아 넣는 다는 것이다
그래서 0 ~ 1 사이의 값이여야 한다는 조건이 붙게 된다
t가 time인 것을 생각할 때 t, k 가 큰 것이 최신의 데이터라고 생각하면 이해가 빠르다
위에 수식을 전개하면 다음과 같이 된다

a = 0.1 라고 할때

마지막 수식을 보면 0.1로 전체 수식을 묶었을 때 나머지는 1, 0.9, (0.9)^2, (0,9)^3 .... 이런식으로 전개가 된다.
극단적으로 a = 0.00...1 일때는 모두가 1,1,1,1 의 가중치를 가지게 된다
즉 a값이 작다면 과거의 영향이 커진다
a 가 1이였다면 과거 항에 있는 (1-a)의 영향으로 전부 없어지고 최신 데이터만 남게 된다
즉, a값이 크다면 최신의 영향이 커진다
이를 정리하면 다음과 같다
a가 크다 : 최신 영향, 그래프 요동, 변화에 민감
a가 작다 : 과거 영향, 그래프 완만, 변화에 둔감
com 인수
com(Center of mass)은 "질량중심 감쇠법으로 평활계수를 계산하는 인수" 이다
수식은 : α = 1 / (1 + com) 이다
벌써 말이 어려운데
- 평활계수(a, alpha) : 새로운 데이터에 얼마만큼 반응할 것인가
- 질량중심 : 가중치의 중심을 얼마나 과거로 이동했는가 이다
즉, com = 0 이면 a =1 이 되므로 최신 데이터만 반영을 한다는 것이고
com = 1000 이면 a =0.00099 이 되면서 과거의 영향이 커진다
Center of mass 라는 단어로 본다면 과거에 비중을 얼마나 둘 것이냐라고 의역 할 수 있다
com : 과거의 비중을 얼마나 둘 것이냐
com이 크다 : a가 작다, 과거 영향
com이 작다 : a가 크다, 최신 영향

span 인수
Span 의 경우 com과 수신이 매우 유사 하다
수식은 : α = 2 / (1 + Span) 이다
그래서 관계식은 Span = 2 x com + 1
여기서 의구심이 드는 것은 그럼 그냥 com을 쓰면 되지 왜 굳이 span을 쓸까?
단순히 표현의 차이이다
Span은 "대략 몇 개의 데이터의 영향을 반영할지"를 결정한다
Span : 몇 개의 데이터 영향을 받을 것인가
Span이 크다 : a가 작다, 과거 영향
Span이 작다 : a가 크다, 최신 영향

halflife 인수
halflife 의 수식을 보면 꽤나 복잡해 보인다
수식은 : α = 1 - e^(-ln(2)/halflife) 이다
그래도 자주 사용하는 이유는 의미가 있는 수치이기 때문이다
halflife는 "가중치가 절반으로 줄어드는데 걸리는 시간(샘플 수)를 의미 한다"
halflife : 가중치가 절반으로 줄어드는데 걸리는 샘플 수
halflife가 크다 : a가 작다, 과거 영향
halflife가 작다 : a가 크다, 최신 영향

'AI Study > Machine Learning' 카테고리의 다른 글
| Decision Tree, Random Forest, ExtraTressClassifier (0) | 2023.08.17 |
|---|